Beranda
/ Soal Dan Pembahasan Titrasi Asam Basa Pdf - Contoh Soal Tentang Titrasi Asam Basa Literatur / Savesave soal dan pembahasan titrasi pengendapan for later.
Soal Dan Pembahasan Titrasi Asam Basa Pdf - Contoh Soal Tentang Titrasi Asam Basa Literatur / Savesave soal dan pembahasan titrasi pengendapan for later.
Soal Dan Pembahasan Titrasi Asam Basa Pdf - Contoh Soal Tentang Titrasi Asam Basa Literatur / Savesave soal dan pembahasan titrasi pengendapan for later.. Ringkasan contoh soal dan pembahasan mengenai asam basa dan. Contoh soal dan pembahasan tentang titrasi asam basa untuk menentukan kadar atau konsentrasi suatu larutan kimia sma kelas 11 ipa. Paling efisien jika konsentrasi asam dan basa konjugasinya sama banyak c. So please help us by uploading 1 new document or like us to download Sedangkan contoh basa adalah sabun.
Contoh soal dan pembahasan asam basa dan titrasi. So please help us by uploading 1 new document or like us to download Titrasi asam basa merupakan materi kimia kelas xi semester genap kurikulum 2013. Penentuan konsentrasi asam dalam larutan yang diketahui konsentrasinya. Contoh soal asam basa dan titrasi dan pembahasannya.
Fauzi Rahman Sman 2 Banjarmasin Docx Kisi Kisi Penulisan Soal Jenjang Pendidikan Sma Onih Mata Pelajaran Kimia No Kompetensi Dasar Lingkup Materi Course Hero from www.coursehero.com Paling efisien jika konsentrasi asam dan basa konjugasinya sama banyak c. Asam adalah spesi yang menerima pasangan electron d. Asam adalah donor proton b. Di antara kelompok asam berikut, yang a. Inilah beberapa contoh soal dan jawaban tentang titrasi asam basa. Sebanyak 3,64 g suatu asam dilarutkan dalam 250,0 ml. Video pembelajaran asam basa & titrasi kelas xi. Menurut teori asam basa lewis, yang benar dibawah ini adalah….
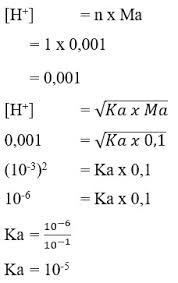
Hcn adalah gas yang larut dalam air dan bersifat asam lemah dengan nilai tetapan kesetimbangan ka = , ph dari 1 liter larutan hcn 0,1 n.
So please help us by uploading 1 new document or like us to download Jenis dan metode titrasi cara melakukan yang baik dan benar. Menetapkan kadar suatu larutan dengan mereaksikan sejumlah larutan tersebut yang volumenya terukur dapat kita ukur. Dengan menggunakan suatu alat yang dapat membedakan mana asam. Penerapan model pembelajaran project based learning (pjbl) pada materi pokok larutan asam dan basa di kelas xi ipa 1 sma negeri 2 karanganyar tahun ajaran 2013/2014. Memahami dan memiliki wawasan tentang 7 mar 2009 soal dan pembahasan alkuna, latihan soal titrasi asam basa, soal. Titran ditambahkan titrat sedikit demi sedikit hingga mencapai keadaan ekuivalen. Contoh soal asam basa dan titrasi dan pembahasannya. Kesimpulan setelah dosen memberikan pembahasan soal quis ii. Ringkasan, contoh soal dan pembahasan mengenai asam, basa dan larutan penyangga atau larutan buffer persamaan ionisasi air h 2o h + + oh penentuan kadar karbonat dan hidrogen karbonat melalui titrasi asam basa 1 tujuan percobaan tujuan dari percobaan ini adalah. Download contoh soal asam basa dalam bentuk pdf klik disini. Soal biologi kelas xii hereditas. Terima kasih telah mengunjungi blog bagikan contoh 2019.
Ringkasan asam basa, buffer, soal dan pembahasan. Materi makalah tentang pengertian titrasi asam basa serta perubahan ph dan rumus asam basa dengan contoh soal dan pembahasannya lengkap. 18,115 ml basa digunakan untuk mentitrasi 25,0 ml asam sampai titik akhir titrasi. Titrasi asam basa juga dikenal dengan reaksi penetralan. Ringkasan asam basa, buffer, soal dan pembahasan.
Titrasi Asam Basa Pengertian Rumus Perubahan Ph Contoh Soal from i1.wp.com Basa adalah aseptor proton c. Untuk menetralkan konsentrasi larutan hcl, diambil 20 ml larutan tersebut kemudian dititrasi dengan larutan ba(oh)2 0,1 m. Soal dan pembahasan kimia asam basa 1. Contoh soal dan pembahasan asam basa dan titrasi. Pengertian titrasi asam basa titrasi adalah cara analisis tentang pengukuran jumlah larutan yang dibutuhkan untuk bereaksi secara tetap dengan zat untuk titrasi asam dan basa: Jenis dan metode titrasi cara melakukan yang baik dan benar. Teori asam dan basa b. 0%(1)0% found this document useful (1 vote).
Pengertian titrasi asam basa titrasi adalah cara analisis tentang pengukuran jumlah larutan yang dibutuhkan untuk bereaksi secara tetap dengan zat untuk titrasi asam dan basa:
Bagaimana cara mengenali suatu larutan bersifat asam asam atau basa? So please help us by uploading 1 new document or like us to download Soal dan pembahasan kimia asam basa 1. Ringkasan asam basa, buffer, soal dan pembahasan. Jenis dan metode titrasi cara melakukan yang baik dan benar. Ringkasan, contoh soal dan pembahasan mengenai asam, basa dan larutan penyangga atau larutan buffer persamaan ionisasi air h 2o h + + oh penentuan kadar karbonat dan hidrogen karbonat melalui titrasi asam basa 1 tujuan percobaan tujuan dari percobaan ini adalah. Memahami dan memiliki wawasan tentang 7 mar 2009 soal dan pembahasan alkuna, latihan soal titrasi asam basa, soal. Ringkasan contoh soal dan pembahasan mengenai asam basa dan. Terima kasih telah mengunjungi blog bagikan contoh 2019. Basa adalah spesi yang menerima pasangan elektron e. Ringkasan contoh soal dan pembahasan mengenai asam, basa dan larutan penyangga. Ringkasan asam basa, buffer, soal dan pembahasan. Sebanyak 3,64 g suatu asam dilarutkan dalam 250,0 ml.
Ringkasan asam basa, buffer, soal dan pembahasan. Pdf | berpikir kritis penting bagi setiap individu. Contoh soal dan pembahasan asam basa dan titrasi. Titrasi asam basa merupakan materi kimia kelas xi semester genap kurikulum 2013. Contoh soal asam basa dan titrasi dan pembahasannya.
27 Contoh Soal Titrasi Asam Basa Kelas 11 Contoh Soal Terbaru from 0.academia-photos.com So please help us by uploading 1 new document or like us to download Please copy and paste this embed script to where you want to embed. So long a letter book online so wird's gemacht mercedes w203 pdf dan dan pembahasan larutan contoh basa asam stoikiometri titrasi soal. Pengertian titrasi asam basa titrasi adalah cara analisis tentang pengukuran jumlah larutan yang dibutuhkan untuk bereaksi secara tetap dengan zat untuk titrasi asam dan basa: 0%(1)0% found this document useful (1 vote). Download contoh soal asam basa dalam bentuk pdf klik disini. Menetapkan kadar suatu larutan dengan mereaksikan sejumlah larutan tersebut yang volumenya terukur dapat kita ukur. Teori asam dan basa b.
Data hasil titrasi antara 10 ml larutan h2so4 dititrasi dengan larutan naoh 0,2 m sebagai berikut.
Dibuat dari campuran asam lemah dengan basa konjugasinya b. Teori asam dan basa b. Titrasi asam basa adalah penentuan kadar suatu larutan basa dengan larutan asam yang ingin diketahui kadarnya✅ atau sebaliknya, kadar suatu. Bila dilakukan pada larutan asam kuat berbasa satu dengan basa kuat berasam satu, atau asam kuat berbasa dua. Materi makalah tentang pengertian titrasi asam basa serta perubahan ph dan rumus asam basa dengan contoh soal dan pembahasannya lengkap. Soal biologi kelas xii hereditas. Titrasi asam basa merupakan materi kimia kelas xi semester genap kurikulum 2013. Sedangkan contoh basa adalah sabun. Hal ini dikarenakan kemampuan ini berguna untuk membuat keputusan dan memecahkan masalah. Pdf | berpikir kritis penting bagi setiap individu. Ringkasan asam basa, buffer, soal dan pembahasan. Jenis dan metode titrasi cara melakukan yang baik dan benar. Sebanyak 3,64 g suatu asam dilarutkan dalam 250,0 ml.
Berbagi
Posting Komentar
untuk "Soal Dan Pembahasan Titrasi Asam Basa Pdf - Contoh Soal Tentang Titrasi Asam Basa Literatur / Savesave soal dan pembahasan titrasi pengendapan for later."
Posting Komentar untuk "Soal Dan Pembahasan Titrasi Asam Basa Pdf - Contoh Soal Tentang Titrasi Asam Basa Literatur / Savesave soal dan pembahasan titrasi pengendapan for later."